西风起蟹脚痒
秋天是吃螃蟹的季节
常听说“螃蟹死了不能吃”
那么,螃蟹死了究竟能不能吃?
螃蟹哪些部位不能吃
什么人不能吃?
就让我们来看看吧!
死螃蟹为什么不能吃?
1、自溶作用
螃蟹属于甲壳类,其组织中含有丰富的酶类。在死亡后,这些内源酶会开始分解自身组织,导致肌肉软化、结构崩解,为细菌生长创造有利条件。
2、微生物增殖
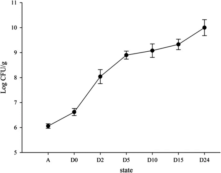
螃蟹生活在水中,其鳃、肠道等部位天然携带大量微生物,包括细菌和真菌。一旦螃蟹死亡,体内的免疫和防御机制停止,这些微生物便迅速繁殖并扩散到蟹肉中。研究表明,中华绒螯蟹死后24h体内微生物达到1010CFU/g,远超安全水平。
3、有毒代谢产物的产生
在弱酸条件下,细菌会分解蟹体内的氨基酸,产生大量的组胺和类组胺。组胺是人体内炎症反应和免疫损伤的重要介质之一,摄入过量会引起中毒,严重时还会危及生命。
冷冻螃蟹为什么可以吃?
1、急冻
在条件不适宜活体运输时,会采取船上急冻或到港急冻的方法,在蟹死亡前迅速进行低温冷冻,以保证螃蟹新鲜,但这种情况下冰冻的蟹一旦解冻,就必须尽快食用。
2、熟冻
海蟹还可以“熟冻”,即迅速煮熟,再进行低温冰冻。这样处理的蟹因为已经熟了,故解冻后可直接食用。但解冻后也不能久放,要尽快食用。
螃蟹哪些部位不能吃?
1、蟹腮
蟹鳃是螃蟹的呼吸器官,在呼吸过程中会滤除水中的污染物、寄生虫和微生物,是螃蟹体内重金属和持久性有机污染物含量最高的部位之一,食用可能将这些有害物摄入体内。其次蟹鳃的湿润多孔结构也使其成为寄生虫和细菌的温床,若未彻底加热而食用,可能导致寄生虫感染。此外,鳃部直接接触水体,容易携带细菌和病毒。因此,蟹腮不能食用。
2、蟹胃&蟹肠
蟹胃位于蟹壳前端、背甲下方,是一个三角形或袋装的囊状器官。蟹胃中充满了螃蟹摄食的杂质和排泄物,包括泥沙、腐败有机质以及可能的病原体。如果误食蟹胃,不仅会尝到苦涩难咽的泥沙味,还可能摄入细菌或有毒物质,引起肠胃不适。
蟹肠是螃蟹的消化道后半段,连接胃和肛门,呈细长的管状,通常位于蟹脐(腹部)的中线上,颜色多为灰黑色。蟹肠内充满了螃蟹的粪便和消化废物,不能食用。
哪些人不宜吃螃蟹?
1、高胆固醇和心血管疾病患者
螃蟹胆固醇含量很高。每100克蟹肉中胆固醇约为65毫克,而每100克蟹黄中胆固醇可高达460毫克。摄入过多胆固醇会增加血液中低密度脂蛋白水平,加重动脉粥样硬化和心血管负担。因此,高胆固醇血症患者、高血压或冠心病等心血管疾病患者应少吃或不吃螃蟹。
2、痛风及高尿酸血症患者
螃蟹属于中高嘌呤食物。每100克螃蟹中呤含量约为81毫克,摄入嘌呤过多会在体内代谢产生尿酸,当尿酸水平过高时,易在关节等处沉积形成尿酸盐结晶,诱发痛风急性发作。因此,痛风患者或高尿酸血症患者应谨慎食用螃蟹。
3、消化系统疾病患者
螃蟹性寒且富含蛋白质和胆固醇,不易消化。对于脾胃虚寒、消化不良的人来说,吃螃蟹可能加重胃肠负担,出现腹痛、腹泻等症状。
4、孕妇和哺乳期妇女
螃蟹如果烹饪不当可能带有寄生虫或细菌,对孕妇和胎儿健康不利。另外,螃蟹的高蛋白质和胆固醇也可能增加孕妇消化和代谢负担。哺乳期妇女也应少吃螃蟹:一方面螃蟹可能通过乳汁引起婴儿过敏,另一方面其寒性可能导致宝宝消化不良、腹泻等不适。
5、老年人和幼儿
老年人由于消化功能减退、免疫功能下降,吃螃蟹容易出现消化不良,且更易感染食源性疾病。幼儿肠胃功能尚未发育完善,更容易对异种蛋白过敏,故不宜过早吃螃蟹。
6、过敏人群
螃蟹是常见的过敏原之一,含有大量异种蛋白。过敏体质的人食用后可能引发过敏反应,如皮疹、瘙痒、呼吸困难,严重时可导致过敏性休克。
总结
综上,螃蟹死后不能吃,冷冻螃蟹可以吃,但解冻后要立即食用。螃蟹的鳃、胃和肠不能食用。高胆固醇和心血管疾病患者、痛风及高尿酸血症患者、消化系统疾病患者、孕妇和哺乳期妇女、老年人和幼儿以及过敏人群不宜食用。螃蟹虽美,可不要贪吃哦!(盐城市水产技术推广站供稿)





